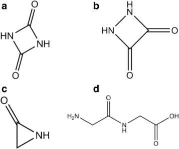
Fig. 13

Interpretation of Glycine data. a, Residue of Gly, C2H2N2O2, 1,3-Diazetine-2,4,dione, 86 Da. b, Isomer of Fig. 13a, 1,2-Diazetine-3,4-dione, 86 Da. c, 2-Aziridinone, C2H3NO, 57 Da. d, Intermediate dimer, glygly, C4H8N2O3, 132 Da

Interpretation of Glycine data. a, Residue of Gly, C2H2N2O2, 1,3-Diazetine-2,4,dione, 86 Da. b, Isomer of Fig. 13a, 1,2-Diazetine-3,4-dione, 86 Da. c, 2-Aziridinone, C2H3NO, 57 Da. d, Intermediate dimer, glygly, C4H8N2O3, 132 Da