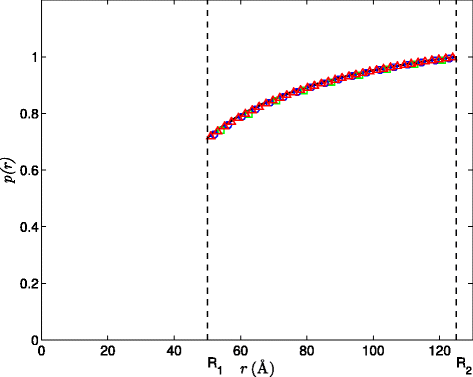
Figure 3

Comparison of SPH solutions (symbol) to the analytical solution (line) for the Smoluchowski equation subject to the Robin BC on r=R 1 and Dirichlet BC on r=R 2 at steady-state with the relative L 2 errors for different resolutions. Specifically, L 2=0.00914 for Δ x=8Å(green square), L 2=0.00598 for Δ x=4Å(blue circle), and L 2=0.00377 for Δ x=2Å(red triangle).